Home Loan calculator

home loan calculator
Indian Home Loan EMI Calculator

Indian Home Loan EMI Calculator

25,00,000
8.5%
20 years
Monthly EMI
21,715
Principal Amount 25,00,000
Total Interest 27,11,600
Total Payment 52,11,600

What is a Home Loan Calculator?


A Home Loan Calculator is a simple tool that helps you estimate your monthly EMI (Equated Monthly Installment) based on your loan amount, interest rate, and tenure. This helps you plan your finances better before applying for a home loan.

How to Use the Home Loan Calculator?

Follow these simple steps to calculate your EMI:

Enter the Loan Amount – The total amount you wish to borrow.

Set the Interest Rate – The annual interest rate offered by the lender.

Choose Loan Tenure – The number of years you plan to repay the loan.

Enter the Down Payment (if applicable) – The amount you are paying upfront.

Click on ‘Calculate’ – Instantly get your EMI, total interest, and total repayment amount.

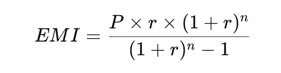
Home Loan EMI Formula
The EMI is calculated using the standard formula:

Where:

P = Loan amount

r = Monthly interest rate (Annual interest rate / 12 / 100)

n = Loan tenure in months

Benefits of Using a Home Loan Calculator


✅ Saves Time – Instantly calculates your EMI without manual effort.
✅ Better Financial Planning – Helps you choose an affordable EMI.
✅ Compare Loan Offers – Analyze different loan options before making a decision.
✅ User-Friendly – Simple and intuitive interface for quick calculations.

Start Calculating Your Home Loan EMI Now!
Use our easy-to-use Home Loan Calculator to plan your home loan repayment smartly.